企業博客
更多>>石英晶體振蕩器設計中降低相位噪聲的方法
來源:http://m.web3dchina.com 作者:康比電子 2018年12月15
石英晶體振蕩器相對于石英晶體諧振器來說可在2.5V-3.3V的任何電源電壓下工作,在振蕩頻率上,閉合回路的相移為2nπ,當開始加電時,電路中唯一的信號是噪聲.滿足振蕩相位條件的頻率噪聲分量以增大的幅度在回路中傳輸,增大的速率由附加分量,即小信號,回路益增和晶體網絡的帶寬決定.幅度繼續增大,直到放大器增益因有源器件(自限幅)的非線性而減小或者由于某一自動電平控制而被減小.該振蕩器具有嚴格的頻率穩定性和低電流消耗標準.康比電子該篇文章為廣大用戶提供石英晶體振蕩器設計中降低相位噪聲的方法參考.
■抖動
從這個測量中,我們可以看到石英晶體振蕩器的瞬時頻率不是恒定的——它與標稱頻率相差很小,在任何給定的時間點都會造成頻率的不確定性.這種頻率變化可以被視為波形邊緣相對于理想標稱頻率邊緣的時間變化.邊緣的這種時間變化稱為抖動.圖1說明了方波的抖動效應.
■相位噪聲
這種到頻域的轉換導致了一種稱為相位噪聲有源晶振的測量.它表示為功率對頻率的曲線圖.為了理解這種測量,必須探索抖動到相位噪聲的轉換.測量抖動的一種方法是測量每個周期相對于平均周期的方差,如等式5[5].
(5)
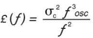
該RMS周期抖動然后可以用于計算給定頻率下的相位噪聲,如等式6所示.
(6)
其中,фosc是振蕩器的頻率,ф是遠離載波[5]的頻率
這種計算可以在許多離散頻率下完成,并編譯成圖形形式.上述公式[5,6]假設沒有1/f噪聲或突發噪聲[5].在實際振蕩器中,存在這些噪聲源,下面將對此進行討論.
如果我們考慮到真實世界的成分和這些電路中產生的噪聲,相位噪聲的計算會變得更加復雜.Leeson方程,如下文方程7所示,讓我們感覺到電路噪聲和電路晶振元件是如何影響相位噪聲測量的[6].
(7)
其中Q1是電路的負載Q,m是來自載波的頻率,c是閃爍噪聲角頻率,o是載波(振蕩器)頻率,T是開爾文溫度,Paves是通過諧振器的功率,F是有源器件的噪聲系數,k是Boltzmann常數.
圖2顯示了這個方程如何適合相位噪聲圖.可以看出,靠近載波,閃爍噪聲控制著曲線,并且具有OSC晶振器件的拐角頻率的截止頻率.相位噪聲圖的中間部分遵循Leeson方程,是負載Q,噪聲系數,功率和溫度[6]的組合.對于高于0/(2Ql)的頻率,地板由噪聲系數,溫度和功率決定.
■相位噪聲測量
測量相位噪聲并非易事.大多數頻譜分析儀沒有直接測量晶體振蕩器相位噪聲的分辨率.圖3顯示了相位噪聲測試的正常配置.與被測振蕩器頻率相同的“理想”源與振蕩器混合.這產生了這兩個信號的乘積,也產生了差異.使用低通濾波器,如果“理想”源與振蕩器的頻率完全相同,產品將被剝離,只留下差異,這將是振蕩器噪聲.
圖5和6(下面)是典型的相位噪聲測量圖.圖5顯示了一個OCXO晶振(2英寸方形封裝)圖,其地板約為-170攝氏度,10Hz性能約為-130攝氏度.圖6顯示了5mmx7mmTCXO的相位噪聲性能,其地板約為-155dBc,10Hz性能約為-90dBc.
其次,OCXO使用不同于TCXO的晶體切割,因此具有更高的Q值.TCXO的晶體Q值約為30,000-40,000,其中SC切割的恒溫晶體的Q值可能接近1,000,000.這個更高的Q值直接有助于改善振蕩器的相位噪聲.
最后,TCXOs被設計得更小,并且功耗非常低.這意味著它們中的大部分是使用FETs而不是BJTs構建的.FETs具有高得多的固有閃爍噪聲,這使石英晶體振蕩器的相位噪聲特性惡化.為穩定而設計的恒溫裝置使用BJTs,BJTs具有更低的噪聲規格,反過來相位噪聲性能更好.
■抖動
從這個測量中,我們可以看到石英晶體振蕩器的瞬時頻率不是恒定的——它與標稱頻率相差很小,在任何給定的時間點都會造成頻率的不確定性.這種頻率變化可以被視為波形邊緣相對于理想標稱頻率邊緣的時間變化.邊緣的這種時間變化稱為抖動.圖1說明了方波的抖動效應.
圖1:抖動的時域表示.
振動可以在時域中測量,并以邊緣的峰-峰時間變化來表示.然而,這種方法在一些應用中可能不是很有用,因為邊緣的變化來自整個頻帶,并且夸大了抖動的幅度.大多數真實世界的應用程序將在某一頻帶內運行,因此抖動效應只需要在該頻帶中測量.為了有效地觀察和測量特定頻帶上的抖動,必須轉換到頻域.■相位噪聲
這種到頻域的轉換導致了一種稱為相位噪聲有源晶振的測量.它表示為功率對頻率的曲線圖.為了理解這種測量,必須探索抖動到相位噪聲的轉換.測量抖動的一種方法是測量每個周期相對于平均周期的方差,如等式5[5].
(5)該RMS周期抖動然后可以用于計算給定頻率下的相位噪聲,如等式6所示.
(6)其中,фosc是振蕩器的頻率,ф是遠離載波[5]的頻率
這種計算可以在許多離散頻率下完成,并編譯成圖形形式.上述公式[5,6]假設沒有1/f噪聲或突發噪聲[5].在實際振蕩器中,存在這些噪聲源,下面將對此進行討論.
如果我們考慮到真實世界的成分和這些電路中產生的噪聲,相位噪聲的計算會變得更加復雜.Leeson方程,如下文方程7所示,讓我們感覺到電路噪聲和電路晶振元件是如何影響相位噪聲測量的[6].
(7)其中Q1是電路的負載Q,m是來自載波的頻率,c是閃爍噪聲角頻率,o是載波(振蕩器)頻率,T是開爾文溫度,Paves是通過諧振器的功率,F是有源器件的噪聲系數,k是Boltzmann常數.
圖2顯示了這個方程如何適合相位噪聲圖.可以看出,靠近載波,閃爍噪聲控制著曲線,并且具有OSC晶振器件的拐角頻率的截止頻率.相位噪聲圖的中間部分遵循Leeson方程,是負載Q,噪聲系數,功率和溫度[6]的組合.對于高于0/(2Ql)的頻率,地板由噪聲系數,溫度和功率決定.

圖2:相位噪聲圖,顯示了決定因素
從這個圖中,很容易找到在振蕩器設計中最小化相位噪聲的引導線.使用閃爍噪聲低的設備.由于9dB/倍頻程部分由該量主導,因此降低電路閃爍噪聲是一個非常重要的問題.BJTs具有比FETs低得多的閃爍噪聲,這使得它們更適合于低相位噪聲應用.6dB/倍頻程部分意味著電路的Q值越高,噪聲系數和功率也越受關注.如下述,OCXOs利用的晶體具有比TCXO晶振更高的Qs.更高的驅動功率也是理想的,因為這是相位噪聲基底(頻率高于0/(2Ql))的驅動因素.這需要權衡,因為更高的驅動水平通常會導致載波附近的相位噪聲降低.■相位噪聲測量
測量相位噪聲并非易事.大多數頻譜分析儀沒有直接測量晶體振蕩器相位噪聲的分辨率.圖3顯示了相位噪聲測試的正常配置.與被測振蕩器頻率相同的“理想”源與振蕩器混合.這產生了這兩個信號的乘積,也產生了差異.使用低通濾波器,如果“理想”源與振蕩器的頻率完全相同,產品將被剝離,只留下差異,這將是振蕩器噪聲.
圖3.相位噪聲設置
然后,他得到的噪聲信號可以由頻譜分析儀測量,并以圖形形式顯示為dBc/Hz對Hz的曲線圖.這張圖表顯示了功率方面的噪聲(在每個特定頻率下)低于載波(振蕩器所需信號)的程度.圖5和6(下面)是典型的相位噪聲測量圖.圖5顯示了一個OCXO晶振(2英寸方形封裝)圖,其地板約為-170攝氏度,10Hz性能約為-130攝氏度.圖6顯示了5mmx7mmTCXO的相位噪聲性能,其地板約為-155dBc,10Hz性能約為-90dBc.

圖5.綠光工業YH1321-4OCXO相位噪聲性能
圖6.格林雷晶振T75TCXO相位噪聲性能
CXO相位噪聲性能通常比TCXO好得多.這是由于幾個因素.OCXO固有地比TCXO更穩定,從而提高了相位噪聲性能.這是因為OCXO中的石英晶振在TCXO的晶體感受到環境變化時是熱穩定的,即使對這些環境溫度變化有補償,它也遠不如OCXO穩定.其次,OCXO使用不同于TCXO的晶體切割,因此具有更高的Q值.TCXO的晶體Q值約為30,000-40,000,其中SC切割的恒溫晶體的Q值可能接近1,000,000.這個更高的Q值直接有助于改善振蕩器的相位噪聲.
最后,TCXOs被設計得更小,并且功耗非常低.這意味著它們中的大部分是使用FETs而不是BJTs構建的.FETs具有高得多的固有閃爍噪聲,這使石英晶體振蕩器的相位噪聲特性惡化.為穩定而設計的恒溫裝置使用BJTs,BJTs具有更低的噪聲規格,反過來相位噪聲性能更好.
正在載入評論數據...
相關資訊
- [2024-02-18]Greenray晶體振蕩器專為國防和航...
- [2024-01-20]HELE加高產品和技術及熱門應用
- [2024-01-20]HELE加高一個至關重要的組件晶體...
- [2023-12-28]Suntsu晶振最新的射頻濾波器突破...
- [2023-12-28]Qantek提供各種高可靠性微處理器...
- [2023-10-11]日本納卡石英晶體的低老化領先同...
- [2023-09-25]遙遙領先H.ELE開啟汽車創新
- [2023-09-23]瑞薩電子MCU和MPU產品領先同行







