康比電子roducts
國產晶振
臺產晶振
進口晶振
- 日本大真空晶振
- 愛普生晶振
- 精工晶振
- 西鐵城晶振
- 村田晶振
- 進口KSS晶振
- NDK晶振
- 大河石英晶振
- 美國CTS晶振
- 微晶晶振
- Abracon晶振
- ECS晶振
- Golledge晶振
- IDT晶振
- Jauch晶振
- Pletronics晶振
- 拉隆晶振
- SiTime晶振
- Statek晶振
- 格林雷晶振
- 康納溫菲爾德晶振
- 日蝕晶振
- 瑞康晶振
- 維管晶振
- AEK晶振
- AEL晶振
- Cardinal晶振
- Crystek晶振
- Euroquartz晶振
- FOX晶振
- Frequency晶振
- Geyer晶振
- KVG晶振
- ILSI晶振
- MERCURY晶振
- MMDCOMP晶振
- MtronPTI晶振
- QANTEK晶振
- QuartzCom晶振
- Quarztechnik晶振
- Suntsu晶振
- Transko晶振
- Wi2Wi晶振
- Fujicom晶振
- Interquip晶振
- ITTI晶振
- Lihom晶振
- MTI晶振
- NAKA晶振
- Oscilent晶振
- PDI晶振
- Rubyquartz晶振
- Shinsung晶振
- SMI晶振
- CTECH晶振
- IQD晶振
- Microchip晶振
- NJR晶振
- Silicon晶振
- Anderson晶振
- Fortiming晶振
- CORE晶振
- NIPPON晶振
- NICKC晶振
- QVS晶振
- Bomar晶振
- Bliley晶振
- GED晶振
- FILTRONETICS晶振
- STD晶振
- Q-Tech晶振
- Wenzel晶振
- NEL晶振
- EM晶振
- PETERMANN晶振
- FCD-Tech晶振
- HEC晶振
- FMI晶振
- Macrobizes晶振
- AXTAL晶振
- Sunny晶振
- 瑞薩Renesas晶振
- SKYWORKS晶振
車載電子
數碼電子
智能家居
時計產品
無線網絡
智能穿戴
醫療器械
無人機
0755-27876201
常見問題
更多>>.jpg)
日本進口晶體,貼片晶振DMX-26S,無鉛晶體小型貼片石英晶振主要采用了,“1TJS060FJ4A901Q”,先進的晶片的拋光工藝技術,是晶體行業中石英晶片研磨技術中表面處理的最高技術,最終使晶片表面更光潔,平行度及平面度更好,大大的降低諧振電阻,使精度得到了很大的提升.改變了傳統的生產工藝,使產品在各項參數得到了很大的改良.
.jpg)
| 料號 | DMX-38 | ||||
| 頻率范圍 | 32.768KHZ | ||||
| 負載電容 |
12.5pf |
||||
| 勵振ベ | 10μW (200μW max.) | ||||
| 周波數偏差 | ±30×10−6,±50×10−6,±100×10−6 (at 25℃) | ||||
| 直列抵抗 | 300Ωmax | 200Ωmax | 150Ωmax | 120Ωmax | 100Ωmax |
| 周波數溫度特性 | ±50×10−6/ー40~+85℃ (Ref. to 25℃ ) | ||||
| ±100×10−6/ー40~+125℃ (Ref. to 25℃ ) | |||||
| ±200×10−6/ー40~+150℃ (Ref. to 25℃ ) | |||||
| 保存溫度范圍 | ー40~150℃ | ||||
| 信頼性仕様 | AEC-Q200 | ||||
| 標準包裝 | 3000/pcs | ||||
.jpg)

.jpg)
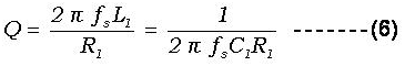
電氣品質因子( Quality Factor, Q ):
對于石英晶體共振子, “1TJS060FJ4A901Q”,電氣質量因子Q是很重要的一個特性. 電氣質量因子可以用下列公式(6)表示 :
1959大和喀左長谷川在神戶市成立加工電子零件和石英晶體.1965開始批量生產的晶體諧振器零件.
1970東京辦事處.
1976打開宮崎廠(目前九州大真空公司)為音叉型石英晶體諧振器生產.
1981建立大真空(香港)公司開始提供音叉型石英晶體諧振器的香港和中國市場.
1985開德島第二廠開始生產陶瓷產品打開配送中心在加古川市.
1989更改公司名稱大真空第三十周年.建立了PT.KDS印度尼西亞啟動海外生產晶體諧振器.
1996取得ISO9001(國際標準化組織質量管理標準).
2001擴大生產規模天津該公司地板
2003成立上海銳致國際貿易有限公司加強在中國的銷售.以和諧電子公司為本公司合并的子公司加強石英器件業務.
2010建立大真空(泰國)有限公司
2012擴大在加古川市中央實驗室的地板尺寸.
大真空電子多年來在環保工作上持續努力,“1TJS060FJ4A901Q”,期望藉由環境管理、自發且持續的改善,達到改善環境、減少環境沖擊的實質目的.本公司于2002年6月開始推行ISO 14001環境管理系統,持續改善整體環境并有助提高經營績效,同時強化內外銷競爭力與提升公司形象.我們承諾將會持續維護ISO 14001環境管何可能污染環境的因素,善盡社會責任.藉由環境稽核確認環境改善績效,使公司所有活動過程均能達成環境目標及標的,并期望透過全體員工共同努力,貢獻愛護地球的一份心力.
1、技術支持:全方位技術指導,專業的技術支持讓您感受到前所未有的后顧無憂.
2、客服咨詢:專業的銷售團隊,耐心為您解答任何疑問,讓您的消費得到保障.
3、質量保證,誠信為本,上我司以“以科技為動力,以質量求生存,”為理念.
4、提升業績,降低成本為您的產品量身訂制,免費取樣,為您做到低成本,高效率.
3、質量保證,誠信為本,上我司以“以科技為動力,以質量求生存,”為理念.
4、提升業績,降低成本為您的產品量身訂制,免費取樣,為您做到低成本,高效率.

康比電子聯系方式:
Q Q: 577541227
電 話:0755-27876201
手 機: 13728742863
Email: kangbidz@163.com
網 址: http://m.web3dchina.com/
地 址: 廣東省深圳市寶安區41區33棟6層
Q Q: 577541227
電 話:0755-27876201
手 機: 13728742863
Email: kangbidz@163.com
網 址: http://m.web3dchina.com/
地 址: 廣東省深圳市寶安區41區33棟6層






